
Počítání s celými čísly

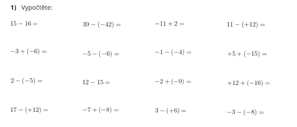
1. sloupec: -1; -9; 7; 5;
2. sloupec: 81; 1; -27; -15;
3. sloupec: -9; 3; -11; -3;
4. sloupec: -1; -10; -4; 5;

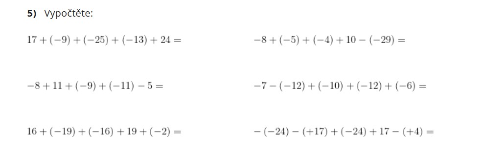
1. sloupec: -16; -6; -5; -12; -1;
2. sloupec: 6; -15; -8; 2; -17;
3. sloupec: 4; -13; -6; -12; 7;
4. sloupec: -100; 7; -4; 4; 43;

1. sloupec: -20; -21; -16; -81; -30; -42;
2. sloupec: -45; 56; -36; -9; 40; 0;
3. sloupec: -60; -5; -36; 18; -17; -14;
4. sloupec: 15; -42; 0; 22; nulou nelze dělit; 4;

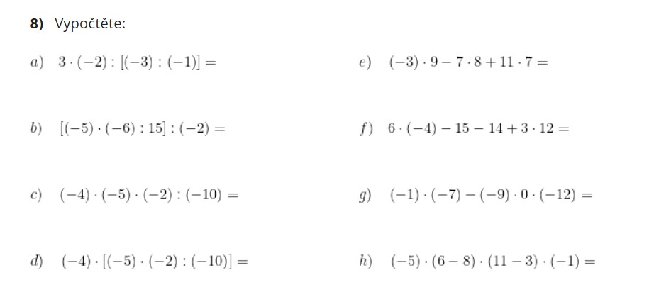
1. sloupec: -23; -12; -4; -10;
2. sloupec: -10; 4; -10; -15;
3. sloupec: 8; -16; 0;-21;
4. sloupec: -13; -11; -12; -10;

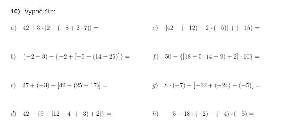
1. sloupec: -6; -22; -2;
2. sloupec: 22; -23; -4;

a) -8; b) -23; c) 0; d) -13; e) -36; f) -27; g) 0; h) -13; i) -46; j) -29;

a) 12; b) -8; c) -12; d) -81; e) 6; f) 49; g) -4;
h) 10; i) 3,25; j) 2; k)1; l)15; m) -3; n) 11;
o) -1; p) -4; q) -3; r) -5; s) 0; t) 0; u) -6;

a) -2; b) -1; c) 4; d) 4;
e) -6; f) -17; g) 7; h) 80;

a) -39; b) 6; c) 0;
d) 54; e) 27; f) -8;

a) 30; b) -3; c) -10; d) 63;
e) 49; f) 100; g) -25; h) -61;
