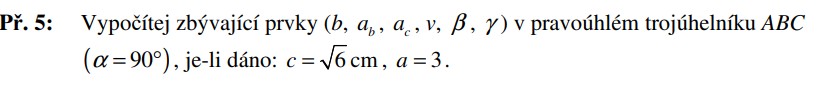
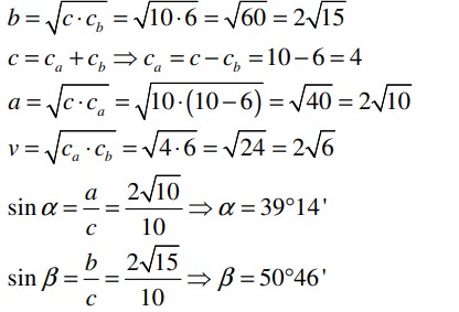
Eukleidova věta