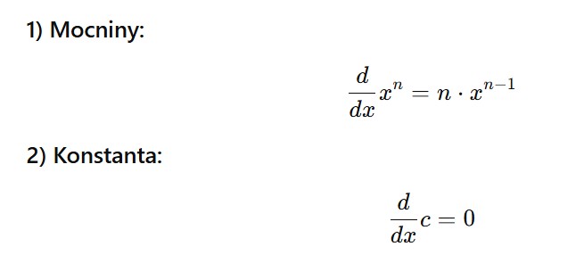
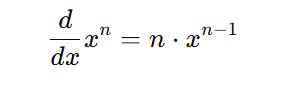
Derivace