
Slovní úlohy - zlomky1
Aleš má v pravé kapse o polovinu méně korun než v levé kapse. Kdyby přendal 40 korun z levé kapsy do pravé, měl by v obou kapsách stejně.
Vypočtěte, o kolik korun má Aleš v levé kapse více než v pravé,

Sjezdovka je o polovinu delší než lanovka. Jejich délky se liší o čtvrt kilometru. Vypočtěte v metrech délku sjezdovky

Jízda lanovkou trvala 1 minutu a 24 sekund. Lyžař sjel sjezdovku za dobu o třetinu kratší. Vypočtěte v sekundách, za jak dlouho sjel lyžař sjezdovku

Do 3. třídy chodí chlapců o pětinu méně než dívek. Počty dívek a chlapců se liší o 3. Kolik chlapců chodí do 3. třídy?

Standardní balení za 360 Kč je o pětinu levnější než luxusní balení.
Jaká je cena luxusního balení?

V autobusu jede 21 osob. Dětí je mezi nimi o třetinu více než dospělých.
Kolik dospělých jede v autobusu?

Do školní družiny se přihlásilo 540 žáků, což je o pětinu více, než činí kapacita družiny. Kolik žáků činí kapacita družiny?

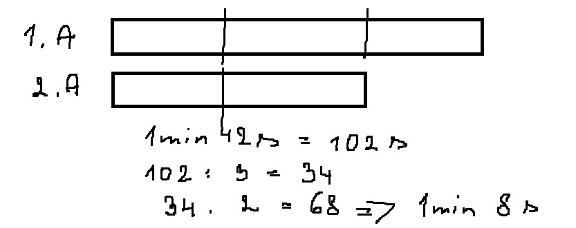
Na trati závodila 3 autíčka. První autíčko ujelo závod za 1 minutu a 42 sekund.
Druhé autíčko ujelo závod za dobu o třetinu kratší než první autíčko.
První autíčko ujelo závod za dobu o třetinu kratší než třetí autíčko.
Vypočtěte v minutách a sekundách,
a) za jakou dobu ujelo závod druhé autíčko

b) třetí autíčko.


a novější.. plus celá sedmá třída
